Утилизационный сбор — это специальный единоразовый платеж, который вносится при ввозе импортного транспортного средства. Он регулируется Федеральным законом от 24 июня 1998 года № 89-ФЗ «Об отходах производства и потребления». Плата взимается, чтобы в будущем компенсировать возможный вред окружающей среде при утилизации машины.
Но декабрьские изменения в большей степени работают как экономический регулятор для поддержки отечественного автопрома. Это отмечают в том числе и сотрудники таможенной службы. Ведь деньги, полученные со сборов, идут в федеральный бюджет, а оттуда в свою очередь направляются на финансирование программ социально-экономического развития страны, господдержку промышленных предприятий, развитие отечественного станкостроения, робототехники, микроэлектроники и так далее.
Величина утильсбора рассчитывается по формуле: базовая ставка, умноженная на коэффициент. Оба множителя зависят от нескольких факторов. Ставка различается в зависимости от вида авто: для легковушек она составляет 20 тысяч рублей, для грузовиков, автобусов, прицепов и полуприцепов — 150 тысяч рублей, для спецтехники — 172,5 тысячи рублей. В то же время для расчета коэффициента разработано постановление Правительства РФ. Основных параметров три: возраст машины, объем двигателя и цель ввоза. И с 1 декабря 2025 года изменится именно коэффициент — в него добавляется переменная мощности в киловаттах или лошадиных силах.
«Для автомобилей мощнее 160 лошадиных сил утильсбор будет рассчитываться по коммерческим ставкам. Сумма варьируется от 600 тысяч до 2,5 миллиона рублей, — говорит Александр Павленко, начальник Иркутского таможенного поста. — Под новые правила подпадают популярные модели, например Li Xiang, у которого около 600 лошадиных сил, Geely Monjaro с 224 «лошадьми». При этом такие модели как Toyota RAV4 или Subaru Forester остаются в льготной категории, так как у них 150-152 «силы».

В большинстве случаев в цену автомобиля уже включена плата за утильсбор, поэтому многие водители не задумывались об этом. Однако существует ряд ситуаций, в которых придется самому посчитать и заплатить сбор. Во-первых, когда вы самостоятельно ввозите машину из-за границы (без участия дилера). Во-вторых, если вы купили машину у человека, который освобожден от сбора — например, беженец или дипломат. В-третьих, когда продавец умышленно не платил.
Утильсбор взимают за все транспортные средства: легковые и грузовые авто, трактора, экскаваторы, и остальную спецтехнику, мотоциклы, автобусы и прицепы. Однако в ранее упомянутом законе № 89-ФЗ есть исключения:
- кто ввозит в Россию авто для личного пользования;
- беженцы, вынужденные переселенцы и граждане-участники госпрограммы по содействию добровольному переселению в Россию соотечественников, проживающих за рубежом;
- дипломаты, члены их семей, представители консульских учреждений и международных организаций.
Освобождаются от утильсбора и некоторые типы транспортных средств (перечень таких транспортных средств утвержден Постановлением Правительства РФ от 26 декабря 2013 года № 1291):
- автомобили, которые выпустили больше 30 лет назад, если они не используются в коммерческих целях, имеют оригинальный двигатель, кузов и раму, сохранены или отреставрированы до оригинального состояния;
- машины, выпущенные менее трех лет назад и растаможенные в свободной зоне Калининградской области (за исключением средств международной перевозки);
- транспорт, который ввозят в Россию и помещают под процедуру временного ввоза (допуска).
Покупателю лучше убедиться, что утильсбор оплачен владельцем авто. В противном случае появятся проблемы как при регистрации авто в Госавтоинспекции, так и в целом при пользовании машиной в России. Информация об этом есть и в бумажном ПТС, и в его электронной версии. Другой способ — онлайн-сервисы: сайт ФНС, бесплатный реестр ЭПТС, или коммерческие приложения. Важно отметить, что если ПТС выдан до 1 сентября 2012 года, то отметки об утильсборе в нем не будет, но в таком случае оплачивать его не надо.
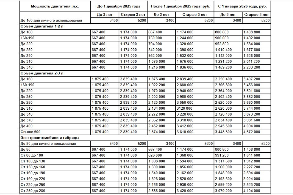
Как же изменятся цены? Взглянем на таблицу.

Для наглядности посчитаем утильсбор на одни из самых популярных машин.
Toyota Harrier 2022 года. Объем двигателя — два литра, мощность — 171 лошадиная сила. До нововведений сбор составлял 5200 рублей, теперь нужно отдать 2 880 000 рублей. То есть вместо 3,5 миллиона рублей авто обойдется в 6 370 000 рублей.
Рассмотрим более дешевое авто — Honda Civic 2021 года. Под капотом — полуторалитровый двигатель на 182 «силы». Раньше «под ключ» она стоила 2,2 миллиона, теперь же придется только за утильсбор отдать 1 244 000 рублей. Так что общая цена вырастает до 3 444 000 рублей.
Но такие цены продержатся только до 1 января 2026 года. Ровно через месяц после повышения утильсбора он подвергнется индексации, и тогда придется платить еще больше. Однако эксперты считают, что спрос на автомобили останется, в том числе и на те, которые попали под удорожание. Рынок только начинает восстанавливаться после спада. Четвертый квартал 2024 года и первая половина 2025 года показали очень низкий спрос по всей стране — во многом из-за высоких кредитных ставок и общей экономической неопределенности.
Сейчас положение меняется. Накопился значительный отложенный спрос — многие предпочли повременить с покупкой автомобиля в ожидании улучшения ситуации. Именно поэтому дилеры прогнозируют, что 2026 год станет годом активных продаж. Потребность в личном транспорте никуда не исчезла. Рынок уже «раскачался», и специалисты уверены, что спрос будет — все привыкнут к новым условиям, а автомобили останутся неотъемлемой частью жизни людей. Те, кто планировал покупку мощных моделей, будут искать альтернативы. Одновременно подорожают подержанные иномарки на вторичном рынке — минимальная надбавка составит от 700 тысяч рублей.
Некоторые начинают искать способы обхода подорожания — например, на программном уровне сбавив «коней» автомобилю. На вопрос о возможном «занижении» мощности автомобилей эксперт ответил, что подобные прецеденты уже были — заводы-изготовители Toyota Camry, Land Cruiser Prado и Highlander ранее снижали мощность с 277-288 до 249 лошадиных сил. Современные автомобили легко программируются, и китайские производители действительно рассматривают вариант с изменением настроек двигателя для соответствия новым требованиям. К тому же пока непонятно, как будут проверять авто на соответствие характеристик.
«На сегодня контроль осуществляется по документам производителей, а не через технические испытания. Таможня направляет запросы заводам, и на основании их ответов рассчитываются платежи, — поделился Сергей Леус, директор компании «ТАЧКИ под заказ». — Лабораторные замеры мощности при растаможивании не проводятся — автомобиль проходит только проверку на соответствие требованиям безопасности для эксплуатации в России».

Эксперты отмечают, что введение нового утилизационного сбора приведет к значительному сокращению модельного ряда доступных по цене автомобилей. В бюджетном сегменте останутся марки, уступающие по безопасности, надежности и качеству электроники, но производителям, которые фигурируют на рынке, придется активно использовать спецпредложения, чтобы поддерживать спрос в новых условиях.
«АвтоВАЗ» потенциально может занять часть ниши, освободившейся после ухода иномарок. Однако далеко не все потребители готовы переходить на отечественные автомобили. Кроме того, эксперты опасаются, что российские производители не смогут быстро нарастить производственные мощности до объемов, сопоставимых с прежним импортом.
Таким образом, утилизационный сбор трансформируется из экологического взноса в экономический стимул, напрямую влияющий на структуру авторынка. Потребителям предстоит привыкать к новым ценовым реалиям и тщательнее планировать покупку, особенно мощных моделей. Эти меры открывают возможности для отечественных производителей, но бросают вызов их способности удовлетворить возросший спрос. В новых условиях ключевым станет взвешенный выбор, где цена будет определяться не только силой двигателя, но и долгосрочными перспективами владения.
Никита Грабовецкий, IRK.ru

-
Трололо
4 декабря 2025 в 08:52
Чтобы оставлять реакции нужно авторизоваться
Загрузить комментарии«Плата взимается, чтобы в будущем компенсировать возможный вред окружающей среде при утилизации машины» - Ну, это же звучит как бред! Почему в других странах, если сдаешь автомобиль на утилизацию - ТЕБЕ ДАЮТ несколько тысяч долларов за этот ценный ресурс? - Ну назовите ВЫ по честному, что это…